![]()
S-Adenosyl Methionine![]()
Sometimes referred to as the "biological equivalent of methyl iodide," S-Adenosyl Methionine (or SAM, to its friends) carries out the methylation of members of most families of biomolecules. For example, bases in DNA and RNA are methylated as part of the maturation of the genetic material; protein amino groups are methylated, sugars are methylated on oxygen, and ethanolamine is converted to choline in the biosynthesis of phospholipids.
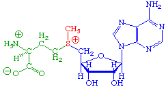
The molecule looks pretty complicated. It is fairly simple in concept, when you strip it down to its functional elements. The business portion of the molecule consists of the sulfur (the positively charged sulfur is called a sulfonium ion) and the methyl group attached (shown in red). The other two groups attached to the sulfur perform two secondary, but crucial roles. First, the sulfur wouldn't be positively charged without two other substitutents. Second, the two other groups on the sulfur allow the molecule to be recognized relatively easily by any enzyme which wants to use SAM. The amino acid group on the left above (in green) is homocysteine (including the sulfur), while the nucleoside to the right (in blue) is adenosine. Due to the charges on the homocysteine, ionic interaction with complementary groups hold this in place. The adenine and the sugar allows for specific hydrogen-bonding to hold that side in place. The use of two "handles" allow the active S-CH3 to be steered directly at the nucleophile.
A three dimensional image of SAM
may be seen to the right. The sticks show the framework of bonds holding the
molecule together (hint: it's in more or less the same orientation as the
structure shown above). The transparent surface surrounding the molecule is the
approximate edge of total electron density for the molecule. It is color-coded
for the attractiveness to charges (blue for attracting negative charge, and red
for attracting positive charges). Note that the whole region around the center
sulfur atom is blue, thanks to its positive charge.
Superimposed on the structure is also the LUMO, or Lowest Unoccupied Molecular Orbital. This orbital, wrapped around the center, shows the site of reaction with nucleophiles. This empty orbital is filled during the attack of the nucleophile. The fact that it is centered on the S-CH3 helps to explain why the reaction occurs at that site.
Readers with a terrific imagination may be able to tell that there is considerable LUMO presence on the sulfur, too. Why don't nucleophiles successfully attack the sulfur (which bears most of the positive charge)? The presence of the LUMO shows that there is opportunity for attack, while the leaving group would have to be H3C: -. Such a leaving group is far too unstable to be successful.
The generic reaction of SAM with nucleophiles is:

The reactivity (but not the selectivity) of SMA can be mimicked by the commercially available trimethyl sulfonium ion (CH3)3S+, an active methylating agent. The surface shown around the molecule is the total electron density. Superimposed on the position is the attractiveness to charges. Areas of the surface labeled in red are attractive to negative charges, while areas labeled in blue are attractive to positive charges. Like SAM, the methyl groups are quite attractive to negative charges.
Trimethylsulfonium ion; total electron density |
Trimethylsulfonium ion, LUMO |
Specific examples from biological systems include compounds containing all of the ordinarily nucleophilic atoms (O, N, S, and even C).


This shows a kinetic isotope effect that is consistent with a direct substitution mechanism (SN2).
Among the oddest reactions thought to involve SAM is the production of unusual fatty acids in bacteria, such as Lactobacillus. These reactions point out a second feature of the sulfonium ion: an unusual acidity, leading to the dipolar "ylide", with a negatively charged carbon right next to a positively charged sulfur:

This reaction produces Lactobacillic acid, shown below.

![]()