

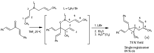
We recently discovered and then developed a novel (and unprecedented) reaction: the direct synthesis of homo-allyl-substituted vinyclyclopropanes from a,b-unsaturated ketones.
An example is shown above. This process delivers two crotyl units to dibenzylidene acetone and forms the corresponding vinylcyclopropane in 79% yield (on a 2.5g scale). Of a possible sixteen product isomers (±) the product shown comprises >50% of the product mixture. The reaction produces a single regioisomer (>98%) and this is 84% the cis cyclopropane diastereomer.
We have also been studying the diastereoselectivity of addition of crotyl indium to benzaldehyde in water versus organic solvents (particularly DMF). The results are suprising and a kinetic diastereoselection is observed.
References:
This project is being funded by: A Young Organic Chemists Award (1997 - 1999) from the Zeneca Strategic Research Fund and an Industrial CASE studentship with Zeneca Agrochemicals 1998-2001.

Back to The Lloyd-Jones Group Home Page